학습 개요
- 데이터의 특성을 요약할 때 기본적으로 이용되는 기술통계량과 그래프들을 알아보고, 웹을 활용한 데이터분석 예를 알아봄
학습 목표
- 기술 통계량을 이해할 수 있음
- 연속인 자료에 이용되는 통계 그래프를 설명할 수 있음
- 웹을 활용하여 기술 통계량을 구하고, 통계 그래프를 그려볼 수 있음
강의록
연속형 자료의 정리
중심 측도: 평균
- 중심 위치의 측도
- 평균, 중앙 값, 최빈 값 등이 있으며, 가장 많이 사용되는 것은 평균(mean)임
- 평균 정의
- 관측한 자료의 값들을 X₁, X₂, … Xₙ이라 할 때, 다음과 같이 정의 됨
-
표본 평균
1
x̄ = n / X₁ + X₂ + … + Xₙ = n / ΣXᵢ
- x̄는 엑스 바(bar)라고 읽음
- 평균은 어느 한 자료 값이 다른 값들보다 아주 크거나 작은 특이 값(outlier; 이상치)의 영향을 많이 받음
- ex)
- 자료: 5, 4, 7, 6, 8, 10, 11, 0, 7, 18인 경우
-
평균 x̄
1
10 / 5 + 4 + … + 7 + 18 = 10 / 76 = 7.6
-
- 자료: 5, 4, 7, 6, 8, 10, 11, 0, 7, 18, 100인 경우
-
평균 x̄
1
11 / 5 + 4 + … + 7 + 18 + 100 = 11 / 176 = 16
-
-
R 코드
1 2 3 4
aval = c(5, 4, 7, 6, 8, 10, 11, 0, 7, 18) sum(aval) mean(aval) [1] 7.6
- 자료: 5, 4, 7, 6, 8, 10, 11, 0, 7, 18인 경우
중심 측도: 절사 평균
- 절사 평균(trimmed mean)
- 표본에서 가장 작은 값 일부와 가장 큰 값 일부를 제외하고 계산된 평균
- 10% 절사 평균은 표본에서 가장 작은 값 10%와 가장 큰 값 10%를 제외하고 계산된 평균을 말함
- 절사 평균은 특이치(outlier)의 영향을 덜 받는 효과
- ex)
- 자료: 5, 4, 7, 6, 8, 10, 11, 0, 7, 18 인 경우
- 자료를 크기 순 정렬: 0, 4, 5, 6, 7, 7, 8, 10, 11, 18
- 10% 절사 평균
- x̄ .₁₀ = 8 / 4 + 5 + 6 + 7 + 7 + 8 + 10 + 11 = 7.25
- 20% 절사 평균
- x̄ .₂₀ = 6 / 5 + 6 + 7 + 7 + 8 + 10 = 7.1667
- 10% 절사 평균
-
R 코드
1 2 3 4 5 6 7 8 9
aval = c(5, 4, 7, 6, 8, 10, 11, 0, 7, 18) mean(aval) [1] 7.6 mean(aval, trim = 0.10) # 양 끝 10%씩 제외 [1] 7.25 mean(aval, trim = 0.20) # 양 끝 20%씩 제외 [1] 7.166667 median(aval) # 중앙 값 [1] 7
중심 측도: 중앙 값
- 중앙 값(median)
- 자료를 크기 순서로 나열했을 때 중앙에 놓이는 값
- 자료의 수를 n이라 할 때, (n + 1)/2 번째의 값을 중앙 값으로 함
- n이 홀수
- (n + 1) / 2 번째 값
- n이 짝수
- (n / 2)번째 값과 (n / 2 + 1)번째 값의 평균
- n이 홀수
- ex)
- 자료: 5, 4, 7, 6, 8, 10, 11, 0, 7, 12, 13, 18, 14 인 경우 (n=13)
- 크기 순 정렬: 0, 4, 5, 6, 7, 7, 8, 10, 11, 12, 13, 14, 18
- 중앙 값 위치: (13 + 1) / 2 = 7, 7번째 값 = 8
- 자료: 5, 4, 7, 6, 8, 10, 11, 0, 7, 12, 13, 18, 14, 20 인 경우 (n=14)
- 크기 순 정렬: 0, 4, 5, 6, 7, 7, 8, 10, 11, 12, 13, 14, 18, 20
- 중앙 값 위치: (14 + 1) / 2 = 7.5 = 7번째와 8번째 값의 평균 값 (8 + 10) / 2 = 9
- 자료: 5, 4, 7, 6, 8, 10, 11, 0, 9, 14 (n=10), 평균=7.4
- 자료 순서 : 0, 4, 5, 6, 7, 8, 9, 10, 11, 14
- 중앙 값 : (10 + 1) / 2 = 5.5번째 = 5번째와 6번째 값의 평균 = (7 + 8) / 2 = 7.5
- 자료: 5, 4, 7, 6, 8, 10, 11, 0, 9, 14, 100 (n=11), 평균=15.82
- 자료 순서 : 0, 4, 5, 6, 7, 8, 9, 10, 11, 14, 100
- 중앙 값 : (11 + 1) / 2 = 6번째 값 = 8
-
R 코드
1 2
aval = c(5, 4, 7, 6, 8, 10, 11, 0, 9, 14, 100) median(aval)
- 자료: 5, 4, 7, 6, 8, 10, 11, 0, 7, 12, 13, 18, 14 인 경우 (n=13)
중심 측도: 최빈 값(mode)
- 최빈 값
- 자료 중 가장 빈도가 많은 값
- 이산형 자료일 경우 도수 분포 표만 살펴보면 쉽게 구할 수 있음
- 연속형 자료일 경우 자료를 몇 개의 계급 구간으로 나누어 가장 도수가 높은 계급의 중간 값을 최빈값으로 정하기도 함
- ex)
- 자료: 13, 18, 13, 16, 14, 21, 13 : mode = 13
- ex)
산포도 측도
- 산포도의 측도(measure of dispersion)
- 자료가 흩어진 정도를 수치로 측정하는 것
- 대표적인 산포도의 측도
- 분산 및 표준 편차
- 이외에도 변동 계수, 범위, 사분위수 범위 등이 이용됨
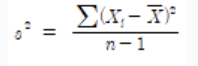
산포도 측도: 분산, 표준 편차
- 분산(variance)
- 각 자료 값과 평균과의 거리를 제곱하여 합한 후 이를 자료의 수로 나눈 측도
-
표본 분산
1
s² = n -1 / Σ(xᵢ + x̄)²
- 자료가 평균에서 많이 흩어져 있으면 분산이 커지고, 평균 주위에 몰려 있으면 분산이 작게 됨
- 표준 편차(standard deviation)
- 분산의 제곱근
-
표본 표준 편차
1
s = √s²
산포도 측도: 변동 계수, 범위
-
변동 계수(coefficient of variation):
1
CV = x̄ / s * 100
- 자료의 개수나 측정 단위가 다른 두 개 이상의 자료에 대한 표준 편차를 비교하는 것은 무의미함
- 이러한 경우에 사용하는 측도가 표준 편차를 평균으로 나눈 표준화 된 표준 편차인 변동 계수(coefficient of variation)를 사용
- 변이 계수라고도 함
-
범위(Range)
- 최대 값 – 최소 값
- 범위는 계산하기가 간편 하나 극 단점이 있을 경우 올바른 산포의 측도가 되지 못함
산포도 측도: 사분위수 범위
- p% 백분위수(percentile)
- 자료를 작은 값부터 큰 값까지 순서대로 늘어놓았을 때 p% 번째 자료를 말함
- 제 1 사분위수 (1st quartile, Q₁ 으로 표시): 백분위 수 중 25% 백분위수
- 제 2 사분위수 (2nd quartile, Q₂ 으로 표시, 중앙 값): 백분위 수 중 50% 백분위수
- 제 3 사분위수 (3rd quartile, Q₃ 으로 표시): 백분위 수 중 75% 백분위수
- 사분위수 범위(IQR; Interquartile Range)
-
제 3 사분위수와 제 1 사분위수의 차이
1
IQR = Q₃ - Q₁
- 중앙 값을 중심으로 50%의 자료가 포함되는 범위이며, 특이 값의 영향을 덜 받음
-
산포도 측도
-
R을 이용한 계산
1 2 3 4 5 6 7 8 9 10 11 12 13 14 15 16 17 18 19
aval = c(5, 4, 7, 6, 8, 10, 11, 0, 7, 18) # 표준 편차 sd(aval) # 4.788876 # 사분위수 범위 (IQR) IQR(aval) # 4.25 # Q3(9.50) - Q1(5.25) = 4.25 # 요약 통계량 (최소값, Q1, 중앙값, 평균, Q3, 최대값) summary(aval) # Min. 1st Qu. Median Mean 3rd Qu. Max. # 0.00 5.25 7.00 7.60 9.50 18.00 # 특정 백분위수 계산 (Q1, Q2, Q3) quantile(aval, probs = c(0.25, 0.5, 0.75)) # 25% 50% 75% # 5.25 7.00 9.50
연속형 자료의 그래프
연속형 자료의 그래프: 히스토그램 (Histogram)
- 히스토그램 (Histogram)
- 연속인 자료를 일정한 계급으로 나누어 각 계급에 속한 도수들을 정리한 도수 분포 표를 이용하는 작성한 그래프
- 히스토그램은 연속인 자료의 분포를 살펴볼 때 이용되는 그래프로서 많은 양의 자료에 적합
- 대칭성, 집중도 등
-
R을 이용한 계산
1 2 3 4
# 정규분포 따르는 난수 200개 생성 a = rnorm(200) # 히스토그램 그리기 (빨간색으로) hist(a, col="RED")

연속형 자료의 그래프: 줄기-잎 그림 (Stem-and-Leaf Plot)
- 줄기-잎 그림 (Stem-and-Leaf Plot)
- 분포의 대략적인 형태를 살펴보기 위하여 작성되는 그래프로 군집의 존재 여부, 집중도가 높은 구간, 대칭성의 여부, 자료의 범위 및 산포, 특이 값의 존재 여부 등을 파악하는데 이용됨
- 원자료의 정보를 유지하면서 분포를 보여줌
- 자료의 값을 ‘줄기(stem)’와 ‘잎(leaf)’으로 나누어 표현하는 그래프
- 보통 큰 자릿수를 줄기로, 마지막 자릿수를 잎으로 사용
- 분포의 대략적인 형태를 살펴보기 위하여 작성되는 그래프로 군집의 존재 여부, 집중도가 높은 구간, 대칭성의 여부, 자료의 범위 및 산포, 특이 값의 존재 여부 등을 파악하는데 이용됨
-
ex) 점수 자료
1
54 57 55 23 51 64 90 51 52 43 15 10 82 74 54 78 37 73 52 48 41 33 52 30 41 51 18 39 46 28 53 44 46 56 28 58 29 58 67 35 25 38 61 53 23 73 69 47 41 45 77 56 89 28 54 99 10 43 35 24 21 23 67 14 53
1 2 3 4 5 6 7 8 9 10 11 12 13 14 15
# "c:/data/dataintro/score.txt" 경로에서 데이터를 읽어옴 score = scan("c:/data/dataintro/score.txt") stem(score) # The decimal point is 1 digit(s) to the right of the | # 1 | 00458 # 10, 10, 14, 15, 18 # 2 | 1333458889 # 21, 23, 23, 23, 24, 25, 28, 28, 28, 29 # 3 | 0355789 # 30, 33, 35, 35, 37, 38, 39 # 4 | 11133456678 # 41, 41, 41, 43, 43, 44, 45, 46, 46, 47, 48 # 5 | 111222333444566788 # 51, 51, 51, 52, 52, 52, 53, 53, 53, 54, 54, 54, 55, 56, 56, 57, 58, 58 # 6 | 14779 # 61, 64, 67, 67, 69 # 7 | 33478 # 73, 73, 74, 77, 78 # 8 | 29 # 82, 89 # 9 | 09 # 90, 99
연속형 자료의 그래프: 상자 그림 (Box Plot)
- 다섯 숫자 요약 (Five-number summary)
- 자료의 분포를 요약하는 5가지 값
- 최소 값, 제 1 사분위수( Q₁), 중앙값, 제 3 사분위수(Q₃), 최대 값
- 자료의 분포를 요약하는 5가지 값
- 상자 그림 (Box Plot)
- 다섯 숫자 요약을 특이 값과 함께 그래프로 표현한 것으로서 분포의 상태, 특이 값의 유무, 여러 집단의 수치 자료를 비교하고자 할 때 유용하게 이용됨
- 상자 그림 그리는 방법
- 다섯 숫자 요약을 구함
- 제 1 사분위수, 제 3 사분위수에 해당하는 수직선 상의 위치에 네모 상자의 양 끝이 오게 하고 상자 내의 중앙 값에 해당되는 위치에 가로지르는 막대 표시를 함
-
안울타리(inner fence)값을 구함
1
IFₗ = Q₁ - 1.5 * IQR
1
IFᵤ = SQ₃ - 1.5 * IQR
- 단, IQR = Q₃ - Q₁
- 안울타리의 안쪽에 있으면서 경계에 가장 가까운 인접 값(adjacent value, AV)를 찾아 상자의 양 끝을 연결 함
- 안울타리 바깥에 있는 자료 점을 특이 값으로 간주하고 “o” 또는 “*” 표시를 함
-
R
1 2 3 4 5 6 7 8 9 10 11 12 13 14 15 16 17 18 19 20 21
score = scan("c:/data/dataintro/score.txt") # 줄기-잎 그림 (참고용) stem(score) # The decimal point is 1 digit(s) to the right of the | # 1 | 00458 # 2 | 1333458889 # 3 | 0355789 # 4 | 11133456678 # 5 | 111222333444566788 # 6 | 14779 # 7 | 33478 # 8 | 29 # 9 | 09 # 요약 통계량 summary(score) # Min. 1st Qu. Median Mean 3rd Qu. Max. # 10.00 33.00 48.00 47.45 57.00 99.00 # 상자 그림 그리기 boxplot(score)

웹 데이터 분석
웹 데이터 분석
- 웹의 활성화
- 웹을 이용한 데이터 분석 방법의 발전
- 통계 교육 효과 증대
- 그래프를 이용한 데이터의 이해 효과
- Free
StatPages.net
- StatPages.net
-
데이터 분석, 통계적 방법, 전자 교재, 통계 강의 등 다양한 내용


-
ex) StatPages.net의 “Interactive Stats”을 이용하여 다음 점수 자료의 히스토그램을 그리고, 기술 통계량을 구해보자.



-
히스토그램 그리기

-
줄기-잎 그림 및 기술통계량 구하기


-
Interactivate
- Interactivate
- 확률, 통계, 그래프 등을 대화형으로 제공해주는 사이트
-
히스토그램, 파이 차트, 산점도, 줄기-잎 그림 등의 다양한 통계 그래프

-
ex) 상자 그림 그리기


eStat
- eStat
- 초,중,고,대 교육용 통계 패키지 (크롬에 최적화)
-
교육 현장에서 통계 분석 및 시각화를 쉽게 수행할 수 있도록 다양한 기능을 제공

연습 문제
-
다음 중 표본 평균을 구하는 공식은?
a.

-
자료의 개수나 측정 단위가 다른 두 개 이상의 자료에 대한 표본 집단 간의 상대적인 산포를 비교할 때 이용되는 측도로, 두 집단의 단위가 다르거나, 단위는 같지만 평균의 차이가 클 때 두 그룹의 산포를 비교하는 데 유용하게 이용되는 측도는?
a. 변동 계수
-
탐색적 자료 분석의 관점에서 살펴볼 때 한 묶음의 자료를 정리하는 숫자로서 다섯 숫자 요약이란 다음 중 무엇인가?
a. 최소값, 최대값, 중앙값, 제 1 사분위수, 제 3 사분위수
-
조사된 자료가 다음과 같다. 중앙값은?
1 2
22 5 21 16 18 20 23 24 32 490 36
a. 22
-
다음 중 표본 분산을 구하는 공식은?
a.
