개요
- Kotlin의 타입 시스템에 내장된 Null Safety 메커니즘을 통해 NullPointerException을 컴파일 타임에 방지함
- Safe Call(
?.)과 Elvis Operator(?:)의 동작 원리 및 다른 언어들과의 비교를 학습함 - Java 상호운용 시 주의사항과 Zero-Cost Abstraction의 의미를 이해함
Null Safety의 개념
Java의 문제점
- Java에서는 모든 참조 타입이 기본적으로 null이 될 수 있음
- 컴파일러가 null 가능성을 검증하지 않음
- 개발자가
if (name != null)체크를 잊으면 런타임 에러 발생 -
NPE는 프로그램이 실행 중일 때만 발견됨
1 2 3 4
// Java String name = getUsername(); System.out.println(name.toUpperCase()); // 컴파일은 통과하지만, 런타임에 NullPointerException 발생
Kotlin의 해결책
- Kotlin은 null 가능성을 타입 시스템에 통합하여 컴파일 타임에 강제함
String은 null이 될 수 없음 (non-nullable 타입)String?은 null이 될 수 있음 (nullable 타입)-
null 가능성은 컴파일 타임에 강제되므로 NPE가 런타임에 발생할 가능성이 사라짐
1 2 3 4 5 6 7 8 9
// Kotlin var name: String = getUsername() // Type mismatch: inferred type is String? but String was expected var name: String? = getUsername() println(name.toUpperCase()) // Only safe (?.) or non-null asserted (!!.) calls are allowed println(name?.toUpperCase())
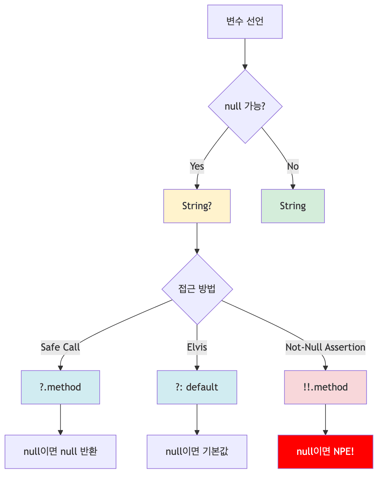
- Null Safety 의사결정 흐름

Null 처리 연산자
Safe Call Operator (?.)
- null이면 null을 반환하고, 아니면 실행함
-
체이닝 가능함
1 2 3
val name: String? = null val length = name?.length println(length)
1
val city = user?.address?.city
-
동작 원리
-
name?.length는if (name != null) name.length else null과 동일하게 컴파일됨1
val length = if (name != null) name.length else null
-
Elvis Operator (?:)
-
null이면 기본값을 사용함
1 2 3
val name: String? = null val displayName = name ?: "Guest" println(displayName)
-
Java와 비교 시 더 간결함
1 2
// Java String displayName = (name != null) ? name : "Guest";
1 2
// Kotlin val displayName = name ?: "Guest"
-
예외 던지기도 가능함
1
val age = input ?: throw IllegalArgumentException("Age required")
Not-Null Assertion (!!)
- null 체크를 생략하며, null이면 NPE 발생함
- Kotlin의 Null Safety 철학에 반함
- 프로덕션 코드에서는 사용을 피해야 함
-
정말 null이 아님을 확신할 때만 제한적으로 사용함
1 2
val name: String? = getName() println(name!!.toUpperCase())
Smart Cast
- null 체크 후 자동으로 non-nullable 타입으로 변환됨
-
명시적 캐스팅이 불필요함
1 2 3 4 5
fun processUser(user: User?) { if (user != null) { println(user.name) } }
1 2 3 4 5 6
fun getUserType(user: User?): String { return when (user) { null -> "No user" else -> user.name } }
-
Smart Cast가 작동하지 않는 경우
-
var 프로퍼티는 다른 스레드에서 변경 가능하므로 작동하지 않음
1 2 3 4 5 6 7 8 9
class Container { var user: User? = null } fun process(container: Container) { if (container.user != null) { println(container.user.name) } }
-
해결 방법
- 지역 변수에 할당
1 2 3 4 5 6
fun process(container: Container) { val user = container.user if (user != null) { println(user.name) } }
-
Kotlin에서 NPE가 발생하는 경우
- Kotlin은 NPE 제로를 보장하지 않으며 다음 경우에만 발생함
명시적으로 던질 때
1
throw NullPointerException()
!! 연산자 사용
1
2
val name: String? = null
println(name!!.length)
초기화 실패
1
2
3
4
5
6
7
8
9
10
11
12
13
14
15
open class Parent {
open val name: String = "Parent"
init {
println(printName())
}
open fun printName() = name
}
class Child : Parent() {
override val name: String = "Child"
}
val child = Child()
- Parent의 init 블록이 먼저 실행됨
- 이 시점에 Child의 name은 아직 초기화되지 않음
- printName() 호출 시 초기화되지 않은 name에 접근하여 NPE 발생 가능
Java 상호운용
-
Platform Types (
타입!)- Kotlin에서 Java 코드를 호출하면 Platform Types가 등장함
-
!는 nullable인지 non-nullable인지 모름을 의미함1
val user = javaApi.getUser()
-
위험한 방법과 안전한 방법
1 2 3 4 5
// 위험한 방법 val name: String = user.getName() // 안전한 방법 val name: String? = user.getName()
-
Java API를 래핑하는 Kotlin 레이어 생성 권장
1 2 3 4 5
class UserRepository(private val javaApi: JavaUserApi) { fun getUser(id: Long): User? { return javaApi.getUser(id) } }
다른 언어와의 비교
Java vs Kotlin
| 측면 | Java | Kotlin |
|---|---|---|
| 기본 Null 허용 | 모든 참조 타입 nullable | 명시적으로 ? 표시 필요 |
| Null 체크 시점 | 런타임 (NPE 발생 시) | 컴파일 타임 (코드 작성 시) |
| 안전한 접근 | if (x != null) 또는 Optional<T> |
?. (safe call) |
| 기본값 제공 | 삼항 연산자 또는 Optional.orElse() |
?: (elvis) |
| 런타임 오버헤드 | Optional은 wrapper 객체 생성 |
0 (컴파일 타임만) |
-
Java Optional의 문제점
Optional은 wrapper 객체를 생성하여 힙 객체 생성 발생- GC 압력 증가
-
접근 시 indirection 비용 발생
1 2 3
// Java Optional<String> name = Optional.of("John"); String result = name.map(String::toUpperCase).orElse("GUEST");
Scala의 Option[T]
-
함수형 프로그래밍 접근 방식 사용
1 2
val name: Option[String] = Some("John") val length = name.map(_.length).getOrElse(0)
- 장점
- 더 일반적이고 composable함 (
flatMap,for-comprehension등)
- 더 일반적이고 composable함 (
- 단점
Some/None래퍼 객체가 힙에 할당되어 메모리 오버헤드 발생
- Scala 3의 개선
- Union Types (
String | Null)를 도입해 Kotlin과 유사한 제로-코스트 달성
- Union Types (
Swift
-
Kotlin과 유사한 접근 방식 사용
1 2
var name: String? = nil print(name?.uppercased() ?? "Guest")
-
차이점
- Swift의 Optional은 enum으로 구현되어 힙 할당 없이 효율적임
C# 8+ (Nullable Reference Types)
-
C# 8부터 Kotlin과 유사한 null safety 도입
1 2
string? name = null; string name2 = "Hi";
-
차이점
- 기존 코드와의 호환성 때문에 선택적(opt-in)임
- 컴파일 에러가 아닌 경고만 발생함
Zero-Cost Abstraction
개념
- Kotlin의 nullable 타입은 런타임 오버헤드가 전혀 없음
-
JVM 바이트코드에서 일반
String과 완전히 동일함1
var name: String? = "John"
-
컴파일 결과
1 2 3 4 5
// Kotlin 코드 val length = name?.length // 컴파일된 바이트코드 val length = if (name != null) name.length else null
성능 비교
| 특징 | Java Optional | Kotlin Nullable |
|---|---|---|
| Wrapper 객체 | 생성함 (힙 할당) | 생성 안 함 |
| 메모리 오버헤드 | 있음 | 없음 |
| GC 압력 | 증가 | 변화 없음 |
| 접근 비용 | Indirection 비용 | 직접 접근 |
| 성능 | 느림 | 일반 null 체크와 동일 |
- Kotlin의 nullable 타입은 컴파일러 매직으로 구현됨
- 실제로는 일반 null 체크 코드로 변환됨
- 타입 안전성을 얻으면서도 성능 손실이 전혀 없음
Nullable Receiver
- nullable 타입에도 확장 함수를 정의할 수 있음
-
null에 대해서도 확장 함수 호출 가능
1 2 3 4 5 6
fun String?.isNullOrEmpty(): Boolean { return this == null || this.isEmpty() } val x: String? = null println(x.isNullOrEmpty())
-
Nullable Receiver의 특징
- null에 대해서도 확장 함수 호출 가능
- 함수 내부에서 this는 nullable 타입임
- this에 대한 null 체크는 개발자가 직접 수행해야 함
-
일반 확장 함수는 non-null receiver만 허용
1 2 3
fun String.nonNullLength(): Int = this.length fun String?.nullableLength(): Int = this?.length ?: 0
-
활용 예시
1 2 3 4 5 6
fun String?.orDefault(default: String): String { return this ?: default } val name: String? = null println(name.orDefault("Guest"))
-
표준 라이브러리 함수들은 모두 nullable receiver를 가짐
1 2 3
fun String?.isNullOrBlank(): Boolean fun <T> List<T>?.isNullOrEmpty(): Boolean fun CharSequence?.ifEmpty(defaultValue: () -> CharSequence): CharSequence
let 함수와 Safe Call
-
null이 아닐 때만 실행함
1 2 3 4 5 6 7 8 9 10 11 12 13
val name: String? = getName() // 전통적인 방법 if (name != null) { println(name.length) saveToDatabase(name) } // Kotlin 스타일 name?.let { println(it.length) saveToDatabase(it) }
-
반환값 활용
1 2 3 4 5
val result = name?.let { println(it.length) saveToDatabase(it) "Success" } ?: "Failed"
-
체이닝 예시
1 2 3
user?.address?.city?.let { city -> println("User lives in $city") }
-
also, apply와의 비교
- let은 마지막 표현식을 반환
- also는 원본 객체를 반환하여 체이닝에 유용
-
apply는 this를 사용하며 원본 객체를 반환
1 2 3 4 5 6 7
name?.also { println(it.length) } name?.apply { println(length) }
검증 함수
require와 check
-
require는 파라미터 검증에 사용하며 IllegalArgumentException을 던짐
1 2 3 4
fun process(name: String?) { require(name != null) { "Name must not be null" } println(name.length) }
-
check는 상태 검증에 사용하며 IllegalStateException을 던짐
1 2 3 4
fun internalProcess(data: String?) { check(data != null) { "Data must be initialized" } println(data.length) }
requireNotNull과 checkNotNull
-
직접 non-null 값을 반환함
1 2 3 4
fun ensureNotNull(value: String?) { val nonNull: String = requireNotNull(value) { "Value is null" } println(nonNull.length) }
1 2 3 4
fun ensureState(data: String?) { val nonNull: String = checkNotNull(data) { "Data must be initialized" } println(nonNull.length) }
권장 사용 패턴
nullable보다 non-nullable을 선호
1
2
3
4
5
6
7
8
9
// 나쁜 예
class User {
var name: String? = null
}
// 좋은 예
class User(
val name: String
)
Elvis Operator로 기본값 제공
1
2
3
4
5
// 나쁜 예
val displayName = if (user.name != null) user.name else "Guest"
// 좋은 예
val displayName = user.name ?: "Guest"
검증 함수 활용
1
2
3
4
5
6
7
8
9
10
11
12
13
// 나쁜 예
fun process(name: String?) {
if (name == null) {
throw IllegalArgumentException("Name required")
}
println(name.length)
}
// 좋은 예
fun process(name: String?) {
require(name != null) { "Name required" }
println(name.length)
}
!! 사용 금지
1
2
3
4
5
// 절대 금지
val length = name!!.length
// 안전한 방법
val length = name?.length ?: 0
-
!!를 사용해도 되는 유일한 경우```kotlin private lateinit var repository: UserRepository
fun init() { repository = UserRepository() repository.findAll() }
Nullable Collection 처리
1
2
3
4
5
6
7
8
9
10
11
12
val names: List<String>? = getNames()
// 복잡함
if (names != null && names.isNotEmpty()) {
names.forEach { println(it) }
}
// 간결함
names?.forEach { println(it) }
// 또는 빈 리스트 반환하는 것을 선호
fun getNames(): List<String> = fetchNames() ?: emptyList()
정리
주요 원칙
- 타입 시스템에 null 가능성 내장
StringvsString?로 명확히 구분- 컴파일 타임에 강제되어 런타임 NPE 방지
- 세 가지 연산자
?.(Safe Call)- null-safe 접근
?:(Elvis)- 기본값 제공
!!(Not-Null Assertion)- 사용 금지 권장
- Smart Cast
- null 체크 후 자동으로 non-nullable 타입으로 변환
- var 프로퍼티는 지역 변수에 할당 후 사용
- 검증 함수
require- 파라미터 검증 (
IllegalArgumentException)
- 파라미터 검증 (
check- 상태 검증 (
IllegalStateException)
- 상태 검증 (
requireNotNull/checkNotNull- non-null 값 반환
- 검증 후 자동으로 non-nullable 타입으로 스마트 캐스트됨
- Zero-Cost Abstraction
- 런타임 오버헤드 없음
- Java Optional보다 성능 우수
- 일반 null 체크와 동일한 바이트코드 생성
- Java 상호운용 주의
- Platform Types (
타입!) 조심 - Java API는 Kotlin 레이어로 래핑
- nullable 여부를 명시적으로 선언
- Public 함수는 null 체크 유지, Private/Internal 함수는 최적화 가능
- Platform Types (
다른 언어와의 비교
- Java
- 런타임 체크만 가능
- Optional은 오버헤드 있음
- Scala
- 함수형이지만 Some/None 할당 비용 발생
- Swift
- enum 기반 Optional로 효율적
- C#
- 선택적(opt-in)이며 경고만 발생